• Предмет: Алгебра
  • Автор: gurtetifyu
  • Вопрос задан 2 года назад

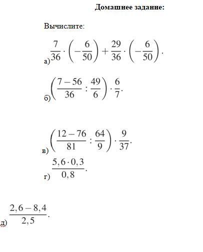
Вычислите:(задание в фотографии) 35 БАЛЛОВ Помогите пожалуйста

Приложения:

Ответы

Ответ дал: 8Vlados8
0

Ответ:

а)- 7/6 * 1/50 - 29/6 * 1/50=- 7/300- 29/300 = - 3/25=-0,12

б)(- 49/36*6/49)*6/7=(- 1/6)*6/7=- 1/7=-0,142857

в)(- 64/81*9/64)*9/37=(- 1/9)*9/37=- 1/37=-0,027

г)7*0,3=2,1

д)-5,8/ 5/2 =- 29/5 / 5/2 = - 29/5 / 5/2=- 58/25=-2,32

Вас заинтересует