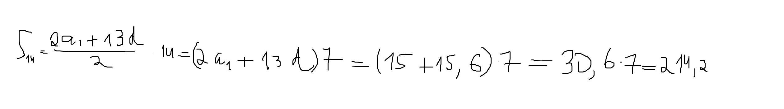
Дана арифметическая прогрессия (an). Известно, что a1=7,5 и d=1,2.
Вычисли сумму первых четырнадцати членов арифметической прогрессии.
Запиши ответ в виде числа, при необходимости округлив его до десятых:
Ответы
Ответ дал:
2
Ответ:
Пошаговое объяснение:
ВОТ И ВСЕ
Приложения:

Вас заинтересует
1 год назад
1 год назад
8 лет назад
8 лет назад