• Предмет: Алгебра
  • Автор: kosovakata369
  • Вопрос задан 8 лет назад

ПОМОГИТЕ ПОЖАЛУЙСТА СРОЧНО ОЧЕНЬ ​

Приложения:

Ответы

Ответ дал: supernat83
0

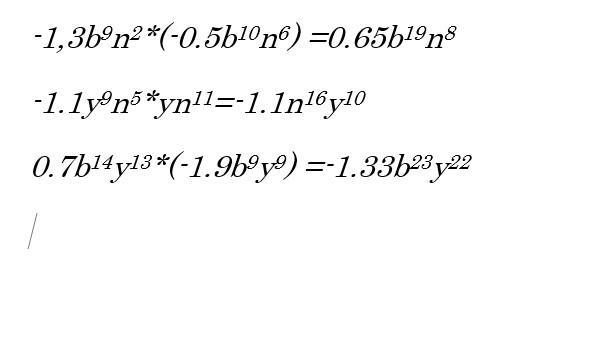
Ответ:

Объяснение:

Во вложении

Приложения:
Вас заинтересует