• Предмет: Алгебра
  • Автор: luka2951
  • Вопрос задан 8 лет назад

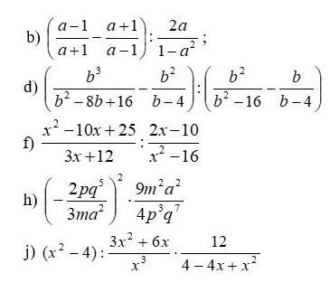
решите пожалуйста алгебра СРОЧНО!!!!!!​

Приложения:

Ответы

Ответ дал: gulranasultanmuratov
0

Ответ:

1.  2

2. 4b^4-64b/-b^2+5b^3-8b^2+32b-64

3.x^4-4x^3-10x^2+65x-100//6x-30

4. q^3/a^2p

5.4x^2/ x-2

Объяснение:

Вас заинтересует