• Предмет: Алгебра
  • Автор: Аноним
  • Вопрос задан 2 года назад

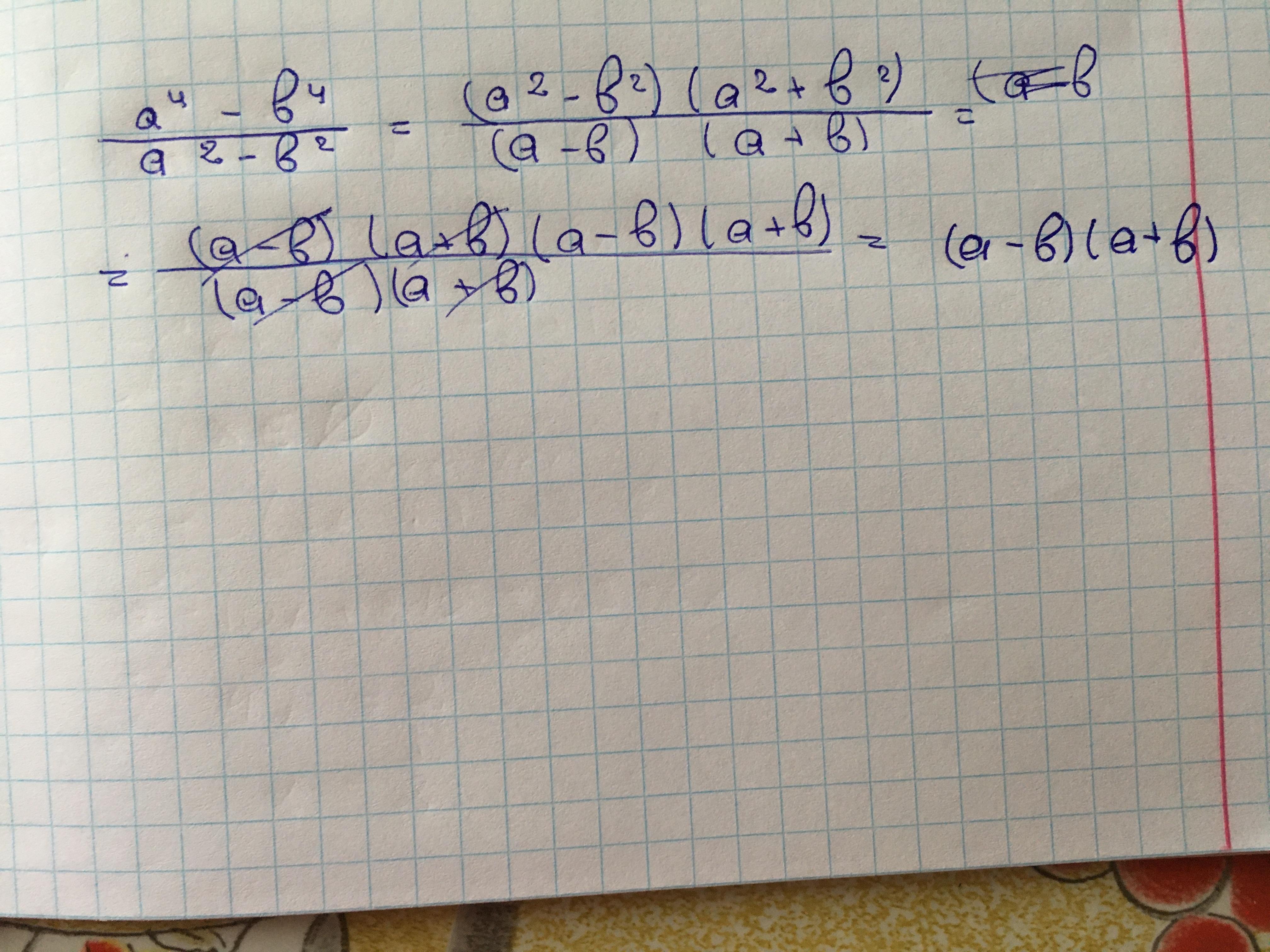
а^4-b^4/a^2-b^2 помогите пожалуйста ​

Ответы

Ответ дал: Sahar2005
1

Ответ:

Вот так получается

Объяснение:

Приложения:
Вас заинтересует