• Предмет: Алгебра
  • Автор: fniga57
  • Вопрос задан 8 лет назад

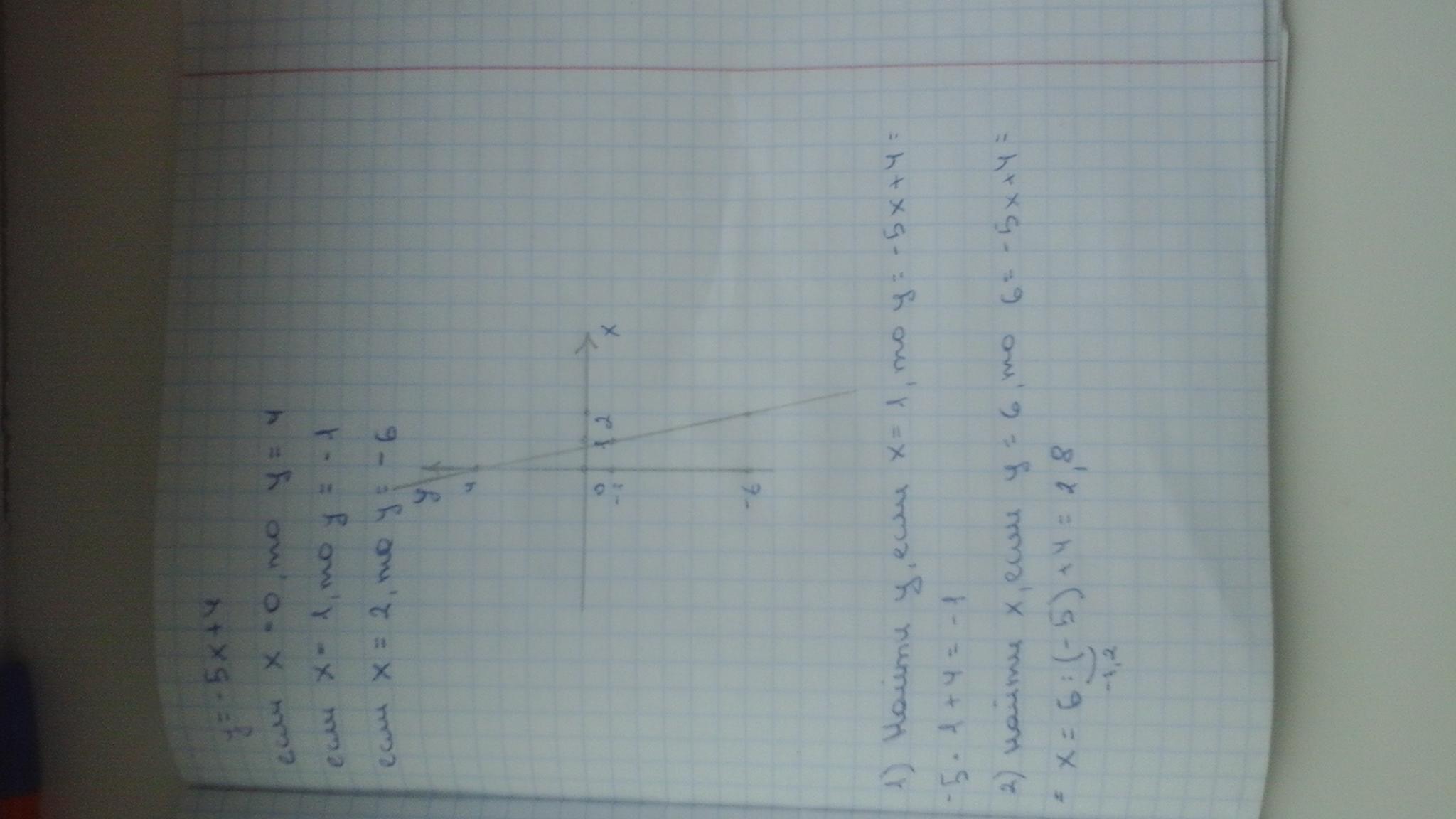
2. Постройте график функции y = -5ҳ +4. Пользуясь графиком,
найдите:
1) значение функции, если значение аргумента равно 1;
2) значение аргумента, при котором значение функции равно 6.​

Ответы

Ответ дал: kitten821
0

Объяснение:для того чтобы провести на координатной плоскости прямую мы можем составить таблицу

если х=0,1,2,то у можно найти по формуле у=-5х+4ёзначит у=4,-1,-6

Приложения:
Ответ дал: fniga57
0
спасибо чел
Вас заинтересует