• Предмет: Алгебра
  • Автор: 1Тлен1
  • Вопрос задан 8 лет назад

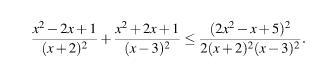
ПОЖАЛУЙСТА РЕШИТЕ УРАВНЕНИЕ!!!!

Приложения:

Ответы

Ответ дал: ВладимирБ
0

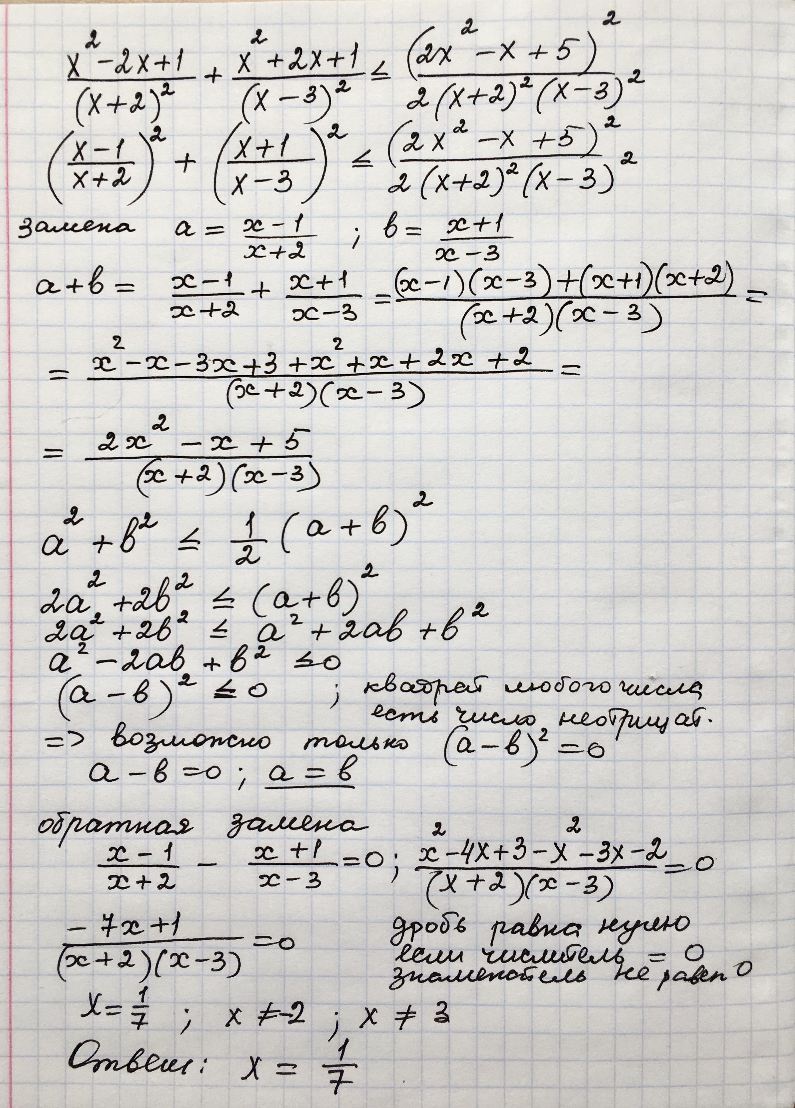
Ответ:

Объяснение:

..........................

Приложения:
Вас заинтересует