• Предмет: Алгебра
  • Автор: zarcenkoeva
  • Вопрос задан 8 лет назад

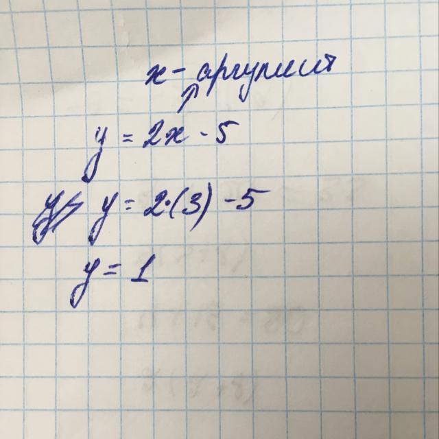
пользуясь функцией y=2x-5 найди значение функции если значение аргумента =3​

Ответы

Ответ дал: sofiyka20071
0
Надеюсь я тебе помогла , и запомни раз и навсегда , что x-аргумент )
Приложения:
Вас заинтересует