• Предмет: Алгебра
  • Автор: nonamw35
  • Вопрос задан 8 лет назад

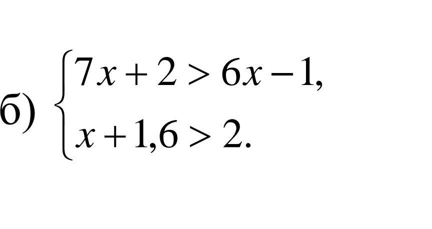
решите систему неравенств, пожалуйста.​

Приложения:

Ответа на этот вопрос пока нет. Попробуйте найти его через форму поиска.

Вас заинтересует