Ответы
Ответ дал:
0
Ответ: так?
Объяснение:
Приложения:

asuahdhd:
Да, спасибо)
Ответ дал:
0
Ответ:
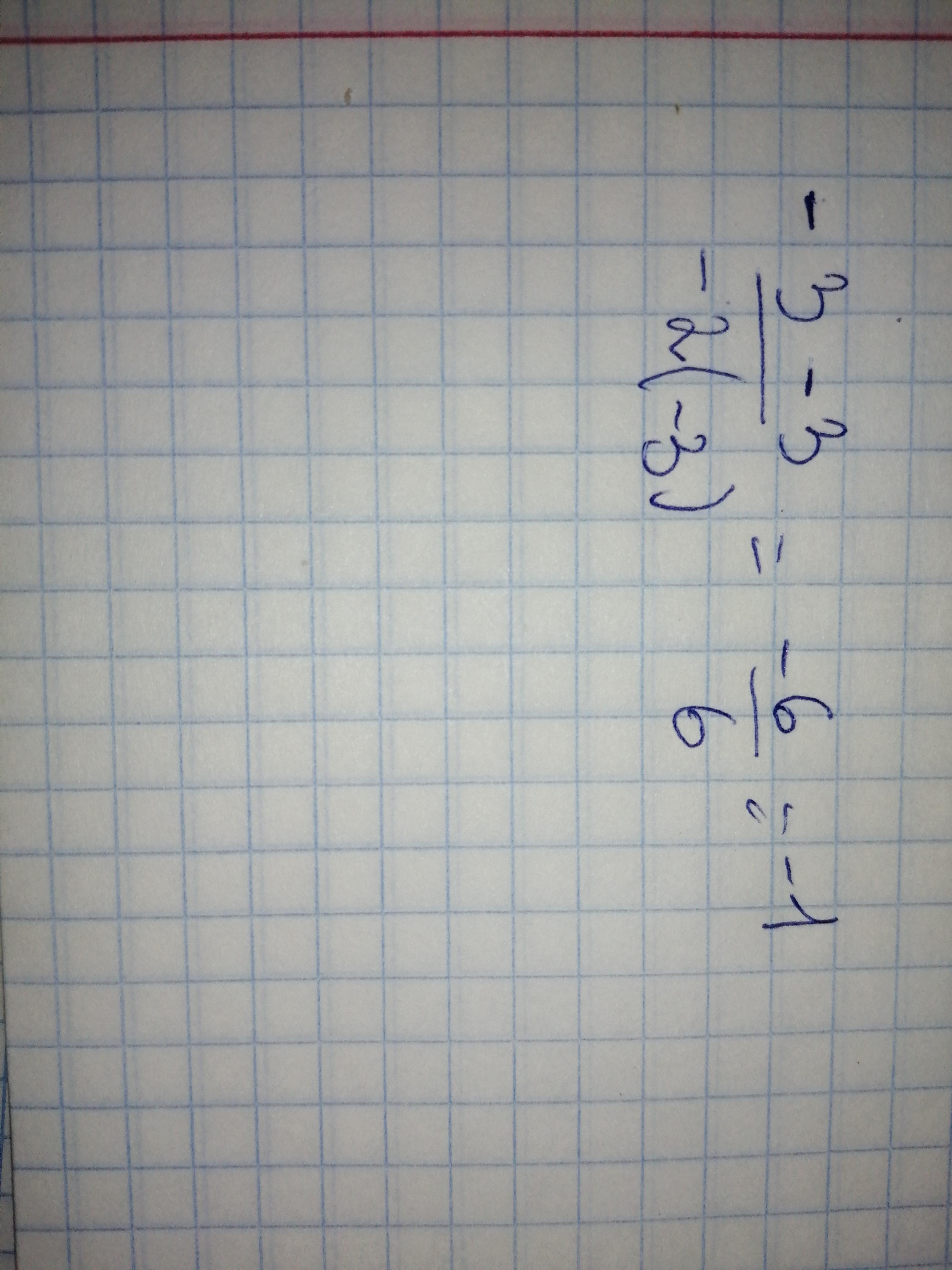
(-3-3)/-2=-6/-2=3
Вас заинтересует
1 год назад
1 год назад
1 год назад
3 года назад
8 лет назад