• Предмет: Алгебра
  • Автор: vanyastyazhkin
  • Вопрос задан 8 лет назад

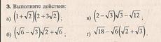
Пожалуйста помогите решить номер с квадратными корнями)

Приложения:

Ответы

Ответ дал: leilalika
0

Есть ли у тебя ответы на эти примеры?

Ведь тебе нужно решение этих примеров да?

Объяснение:

Я просто хочу проверить.

Ответ дал: vanyastyazhkin
0
Да, ответы есть
Ответ дал: vanyastyazhkin
0
а) 8+5корней из 2
б)2корня из 3
в)-3
г) -2корня из 3
Вас заинтересует