Розв'яжіть рівняння:
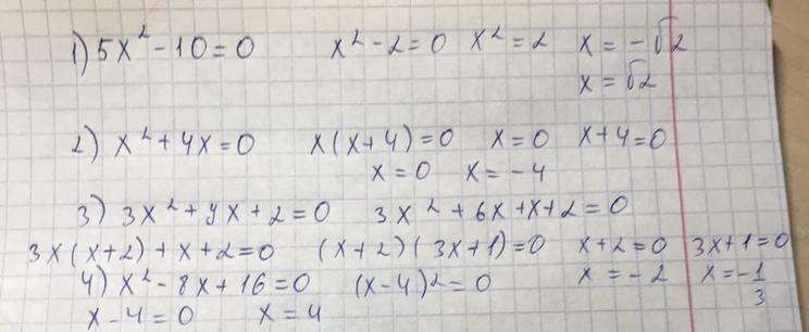
1)5х²-10=0
2)х²+4х=0
3)3х²+7х+2=0
4)х²-8х+16=0
5)х²+х+3=0
6)3х²-х-5=0
7)4/3х²-3/4=0
8)3х(х-2)-х(3+х)=-2(х-4)-4
Ответы
Ответ дал:
0
Ответ:
1) +-√2
2) х=0; х=4
3) х1=1/3;х2= -2
4) Х= 4
5) нет решения
6) ---
7) Х=+-3/4
8) х= 2;-2, 5
шестое незнаю. прости
Ответ дал:
0
Вот ,только первые четыре
Приложения:

Вас заинтересует
2 года назад
2 года назад
3 года назад
8 лет назад
8 лет назад
9 лет назад