• Предмет: Математика
  • Автор: nesterova14012003
  • Вопрос задан 8 лет назад

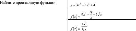
СРОЧНО!!!помогите с решением , пожалуйста!!!!! НАЙДИТЕ ПРОИЗВОДНУЮ ФУНКЦИЮ!! Приму в любом виде!!

Приложения:

Ответа на этот вопрос пока нет. Попробуйте найти его через форму поиска.

Вас заинтересует