• Предмет: Алгебра
  • Автор: KingSol
  • Вопрос задан 2 года назад

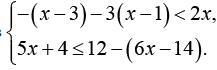
Помогите пожалуйста! ДАЮ 30 БАЛОВ! Решите систему неравенств:

Приложения:

Ответы

Ответ дал: Kristinakonovalova02
1

Ответ:

x1=1

x2=2

Объяснение:

раскрываем скобки в обоих неравенствах:

-x+3-3x+3<2x

5x+4<=12-6x+14

переносим:

-x-3x-2x<-3-3

5x+6x<=-4+12+14

считаем:

-6x<-6

11x<=22

получаем:

x1=1

x2=2

вроде должно быть так


KingSol: Спасибо большое!
Вас заинтересует