• Предмет: Математика
  • Автор: uchenik8899
  • Вопрос задан 8 лет назад

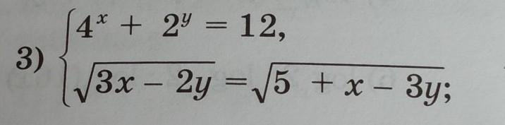
Помогите по алгебре, пожалуйста!​

Приложения:

Ответа на этот вопрос пока нет. Попробуйте найти его через форму поиска.

Вас заинтересует