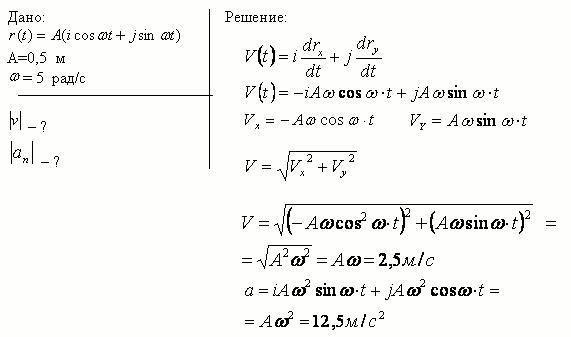
Движение материальной точки задано уравнением r(t)=A(i cos ωt+j sin ωt), где А=0,5 м, ω=5 рад/с. Начертить траекторию точки. Определить модуль скорости |v| и модуль нормального ускорения An
Задача уже решённая, как начертить траекторию точки? Срочно пожалуйста
Приложения:

Ответа на этот вопрос пока нет. Попробуйте найти его через форму поиска.
Вас заинтересует
2 года назад
2 года назад
3 года назад
8 лет назад
8 лет назад
9 лет назад