Ответы
Ответ дал:
0
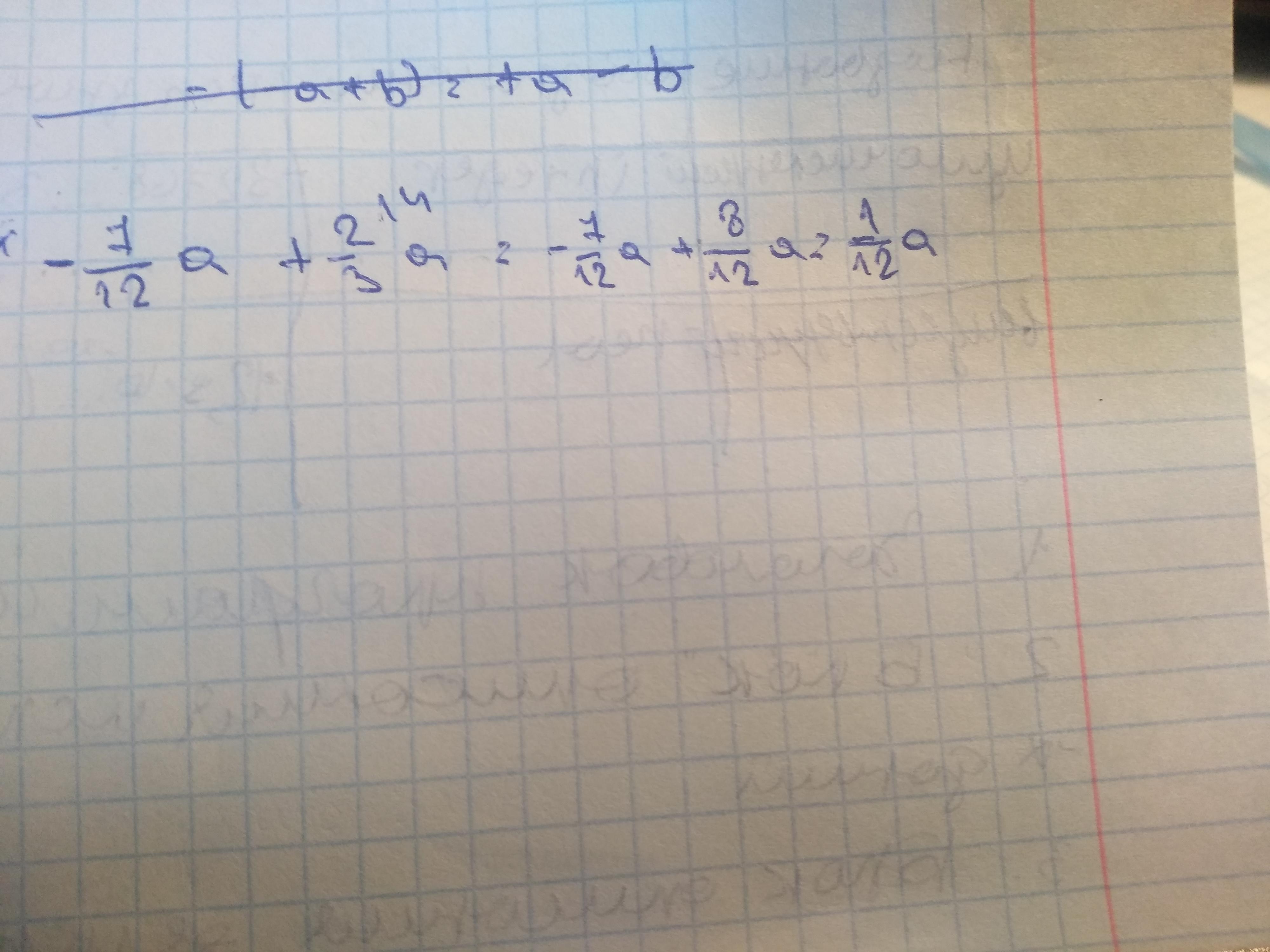
Крч смотри финальный ответ будет 1/12a понял
1
----- a
12
Так надеюсь проще
Приложения:

Вас заинтересует
2 года назад
2 года назад
3 года назад
8 лет назад
8 лет назад
9 лет назад