• Предмет: Алгебра
  • Автор: KingSol
  • Вопрос задан 2 года назад

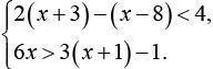
ПОМОГИТЕ ПОЖАЛУЙСТА! СРОЧНО НУЖНО! ДАЮ 30 БАЛОВ! Решите систему неравенств

Приложения:

Ответы

Ответ дал: NNNLLL54
1

\left\{\begin{array}{l}2(x+3)-(x-8)<4\\6x>3(x+1)-1\end{array}\right\; \; \left\{\begin{array}{l}2x+6-x+8<4\\6x>3x+3-1\end{array}\right\; \; \left\{\begin{array}{l}x<-10\\3x>2\end{array}\right\\\\\\\left\{\begin{array}{l}x<-10\\x>\frac{2}{3}\end{array}\right\qquad \Rightarrow \quad x\in \varnothing


KingSol: Спасибо огромное!
dankook: Решите пожалуйста вот это задание пожалуйста https://znanija.com/task/35459802
dankook: Напишите пожалуйста здесь, сможете или нет?
Вас заинтересует