• Предмет: Математика
  • Автор: aristanbek978
  • Вопрос задан 8 лет назад

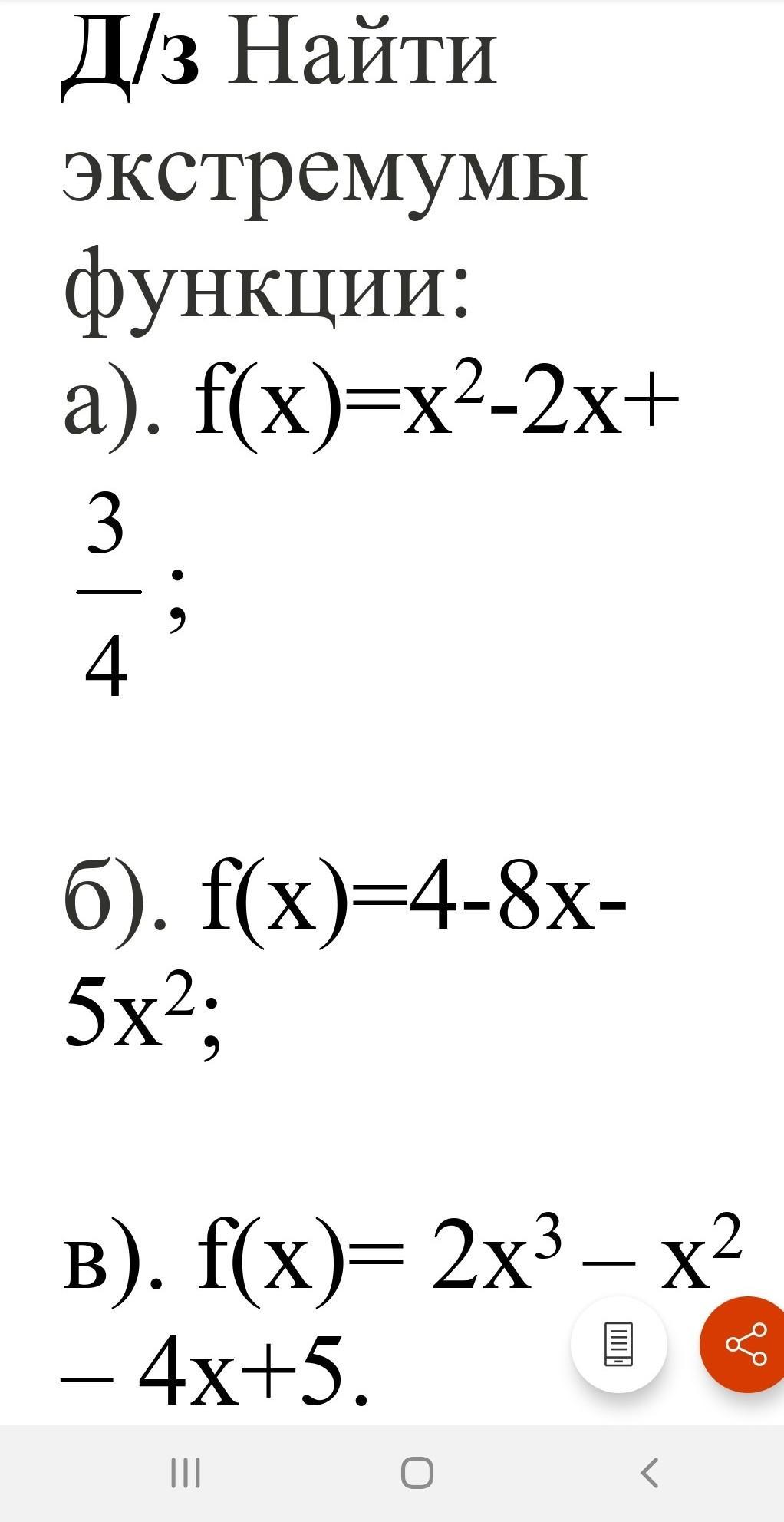
ребят срочно нужна помощь нужно решить до завтра​

Приложения:

Ответа на этот вопрос пока нет. Попробуйте найти его через форму поиска.

Вас заинтересует