• Предмет: Математика
  • Автор: key011
  • Вопрос задан 2 года назад

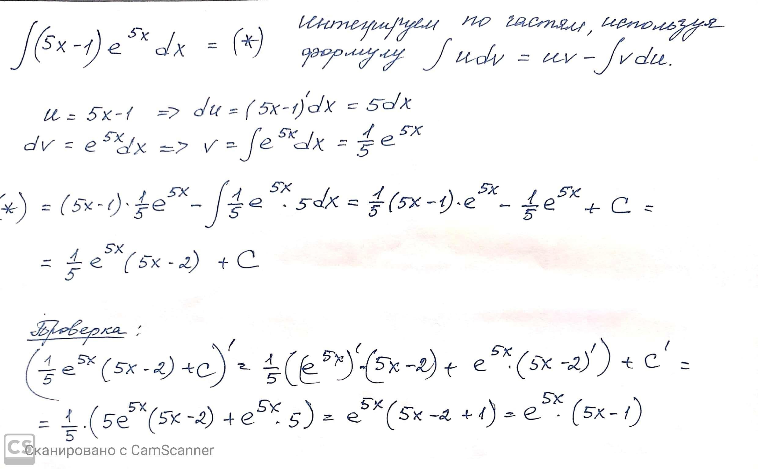
Помогите найти интеграл:

Приложения:

Ответы

Ответ дал: serjiof
0

Ответ:

Пошаговое объяснение: решение в фале

Приложения:
Вас заинтересует