• Предмет: Математика
  • Автор: marycatplay
  • Вопрос задан 2 года назад

(x+3/2)+(3x-7/3) - 8(-x/6)=1​

Приложения:

Ответы

Ответ дал: ryabkova000
1

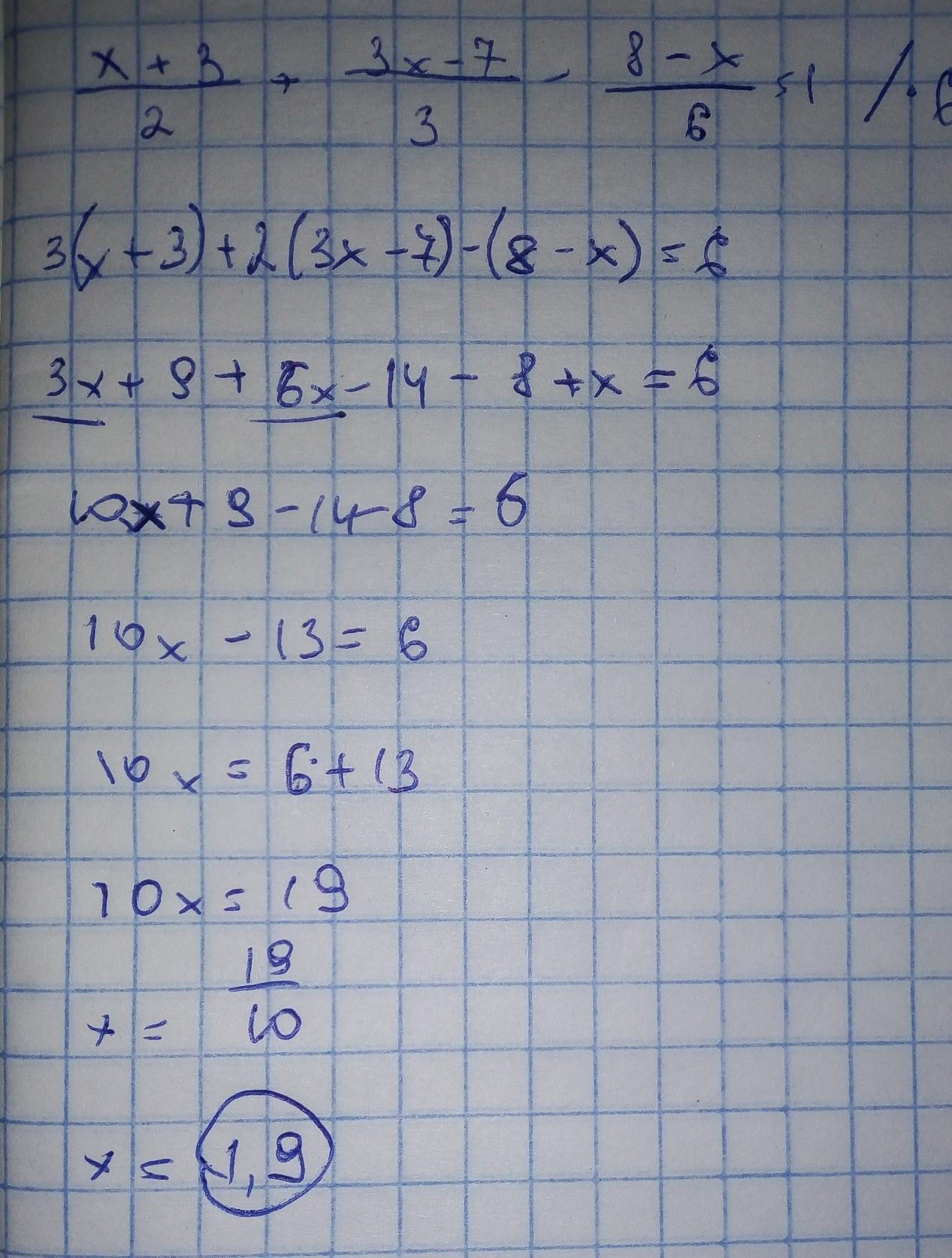
Ответ:

х=1,9

Пошаговое объяснение:

Решение на фото

Удачи!!))

Приложения:
Вас заинтересует