• Предмет: Математика
  • Автор: gargi5366
  • Вопрос задан 2 года назад

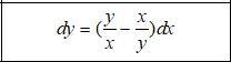
решите пожалуйста пример

Приложения:

Ответы

Ответ дал: neskenova04
0

Ответ:

(dxy^2-dx^3)/xy

Пошаговое объяснение:

(dxy/x)-(dx^2/y)=(dxy^2-dx^3)/xy

Вас заинтересует