• Предмет: Математика
  • Автор: sdsadadadad
  • Вопрос задан 8 лет назад

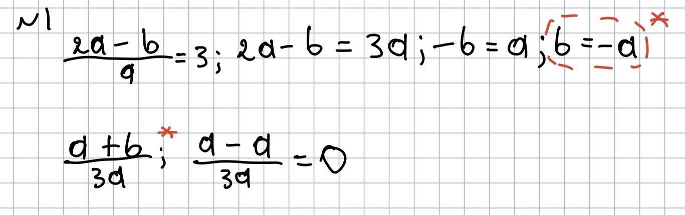
Известно что 2a-b/a=3 найдите значение выражения a+b/3a

Приложения:

Ответы

Ответ дал: ivanov76765556
0

Решение в прикрепленном скриншоте

Приложения:
Ответ дал: Alik25
0
Нельзя просто взять и разделить на а. У тебя меняется ОДЗ.
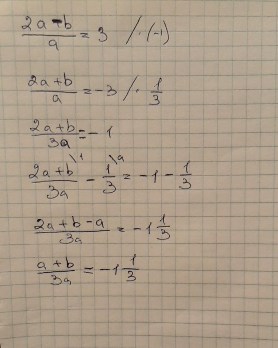
Ответ дал: Alik25
0

Пошаговое объяснение:

Будут вопросы - пиши. Удачи!

Приложения:
Вас заинтересует