• Предмет: Математика
  • Автор: MariaKol225
  • Вопрос задан 8 лет назад

СРОЧНО!!
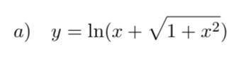
Помогите пожалуйста найти промежутки возрастание и убывания.
Пожалуйста помогите!
Буду очень благодарна

Приложения:

Ответа на этот вопрос пока нет. Попробуйте найти его через форму поиска.

Вас заинтересует