• Предмет: Математика
  • Автор: KillerK
  • Вопрос задан 2 года назад

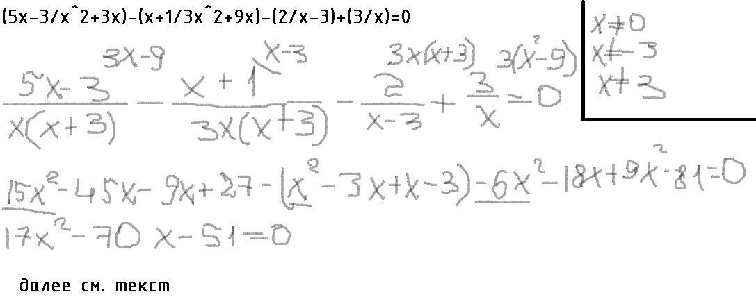
(5х-3/х^2+3х)-(х+1/3х^2+9х)-(2/х-3)+(3/х)=0


Помогите пожалуйста ...

Ответы

Ответ дал: lakOR555
0

Ответ:

(35-√523)/17

(35+√523)/17

Пошаговое объяснение:

см. рис.

Д = (-70)²-4*17*(-51) = 4900+3468 = 8368 = 2*2*2*2*523 = 2⁴*523

√Д = 2²*√523 = 4√523

Х1 = (70-4√523)/2*17 = (4*(17,5-√523))/2*17 = 2*(17,5-√523)/17 = (35-√523)/17

Х2 = (35+√523)/17

Приложения:
Вас заинтересует