• Предмет: Алгебра
  • Автор: minovaksyushashai
  • Вопрос задан 8 лет назад

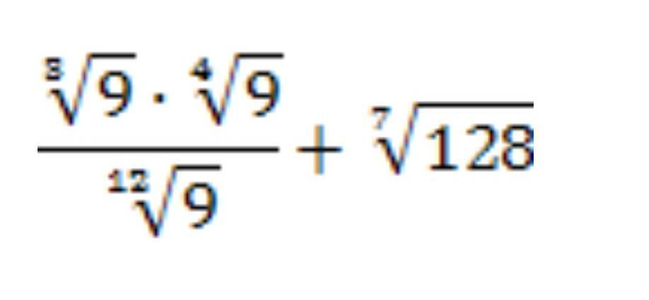
ВЫЧИСЛИТЕ ПРИМЕР ПОЖАЛУЙСТА​

Приложения:

Ответа на этот вопрос пока нет. Попробуйте найти его через форму поиска.

Вас заинтересует