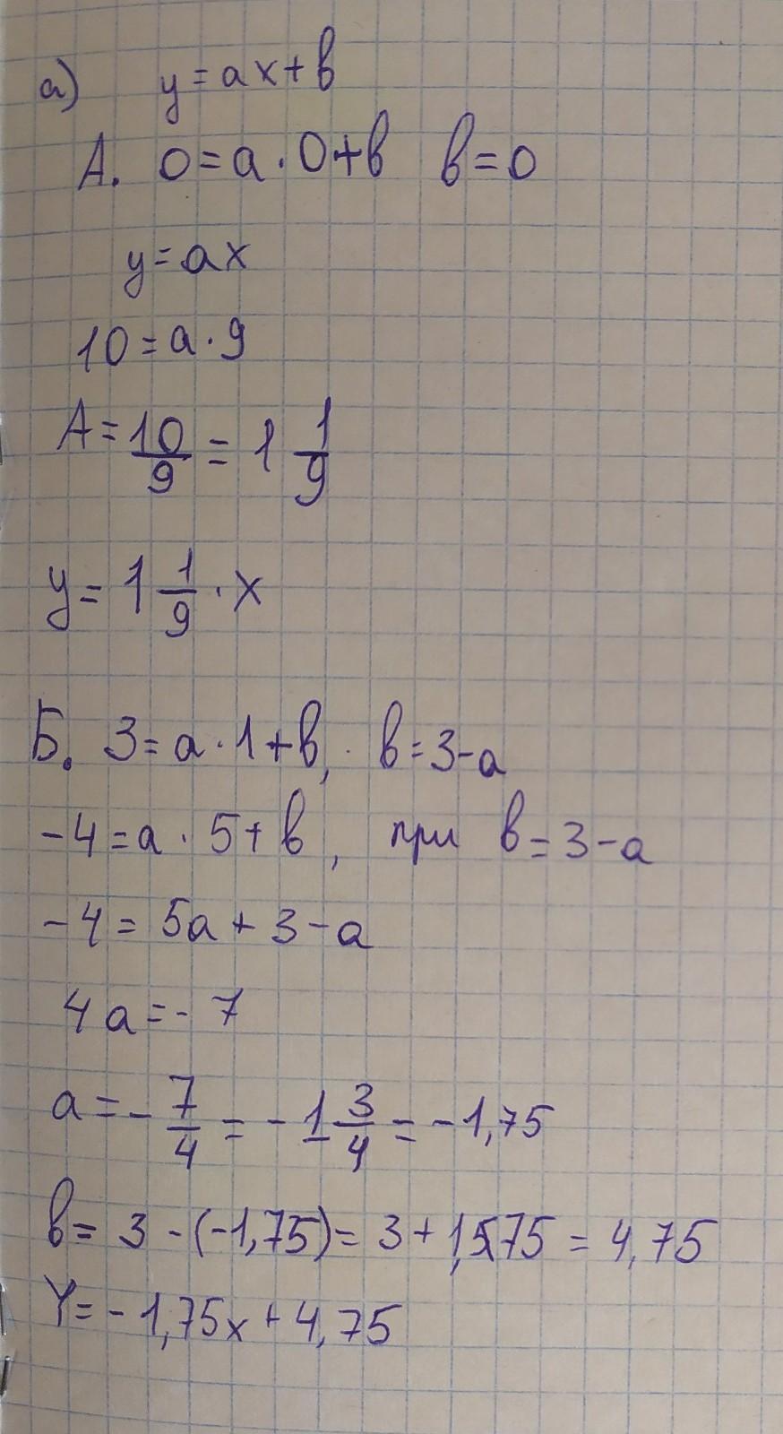
составьте уравнение прямой проходящей через две точки а) (0;0) и (9;10) б) (3;1) и (5;-4).
Пожалуйста помогите срочно (
Ответы
Ответ дал:
18
держите пацаны дивченки
Приложения:

kaptofun71:
мисье вы уверены что это правильно
Вас заинтересует
1 год назад
1 год назад
1 год назад
1 год назад
3 года назад
3 года назад
8 лет назад