• Предмет: Алгебра
  • Автор: tonisteam
  • Вопрос задан 2 года назад

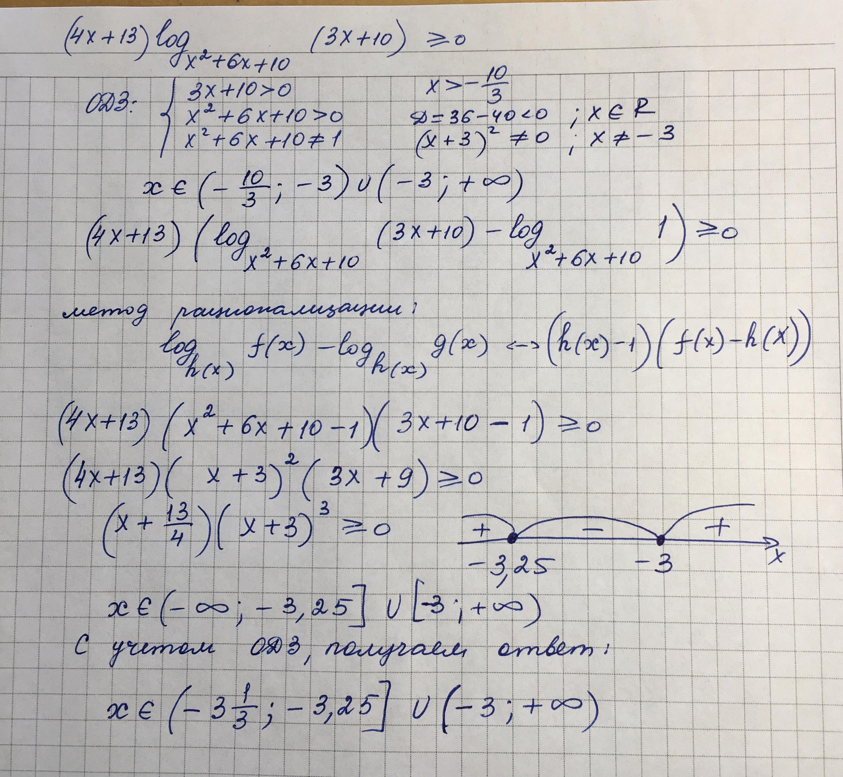
Помогите решить неравенство

Приложения:

Ответы

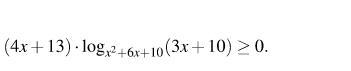
Ответ дал: ВладимирБ
1

Ответ:

Объяснение:

.............................

Приложения:

ata221: Здравствуйте! Можете, пожалуйста, помочь с последним вопросом у меня в профиле? Очень прошу...
Вас заинтересует