• Предмет: Алгебра
  • Автор: messi3985
  • Вопрос задан 2 года назад

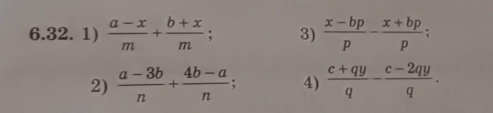
в упражнениях 6.30-6.39 выполните указанные действия
6.32​

Приложения:

Ответы

Ответ дал: saya0498
5

Объяснение:

ответы на фотографии.

Приложения:
Вас заинтересует