• Предмет: Алгебра
  • Автор: jacklala
  • Вопрос задан 8 лет назад

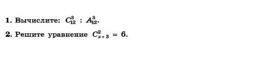
Помогите решить алгебру. 50 баллов.
На фото.

Приложения:

Ответы

Ответ дал: panga07
0

Ответ:

1.  ㏒(7)

㏒  (1/2)

㏒(снизу)13 ( 28 )

2.С(снизу)х=3=корень6 -корень6

Десятичный вид:

2.44948974 , − 2.44948974

Объяснение:

Вас заинтересует