ученикам 7 класса (!!!) вопрос
(дядям и тетям старше 13 лет просьба не напрягаться)
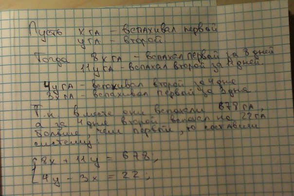
Два тракториста вспахали вместе 678 га.
Первый тракторист работал 8 дней, а второй — 11 дней.
Сколько гектаров вспахивал за день каждый тракторист,
если первый тракторист за каждые 3 дня вспахивал на 22 га меньше,
чем второй за 4 дня?
предлагаю разобрать задачу пошагово
в комментариях
Ответы
Ответ дал:
0
Надеюсь, решать системы умеете
Сори, не удержалась (10 класс)
Сори, не удержалась (10 класс)
Приложения:
Ответ дал:
0
а вот еще вопросик: http://znanija.com/task/3542506
а вот еще вопросик: http://znanija.com/task/3501832
а вот еще вопросик: http://znanija.com/task/3504185
а вот еще вопросик: http://znanija.com/task/3501832
а вот еще вопросик: http://znanija.com/task/3504185
Ответ дал:
0
1 тракторист вспахал всего - х га2 тракторист - 678-х1 тракторист вспахивал за 1 день - х/82 тракторист - (678-х)/113*х/8+22=(678-х)/113х/8+22=(2712-4х)/11(3х+176)/8=(2712-4х)/1133х+1936=21696-32х65х=19760х=304 (га) - вспахал всего 1 тракторист678-304=374 (га) - вспахал всего 2 тракторист304/8=38 (га) - вспахал 1 тракторист за 1 день374/11=34 (га) - вспахал 2 тракторист за 1 день
Приложения:
Вас заинтересует
3 года назад
3 года назад
8 лет назад
8 лет назад
11 лет назад
11 лет назад
11 лет назад