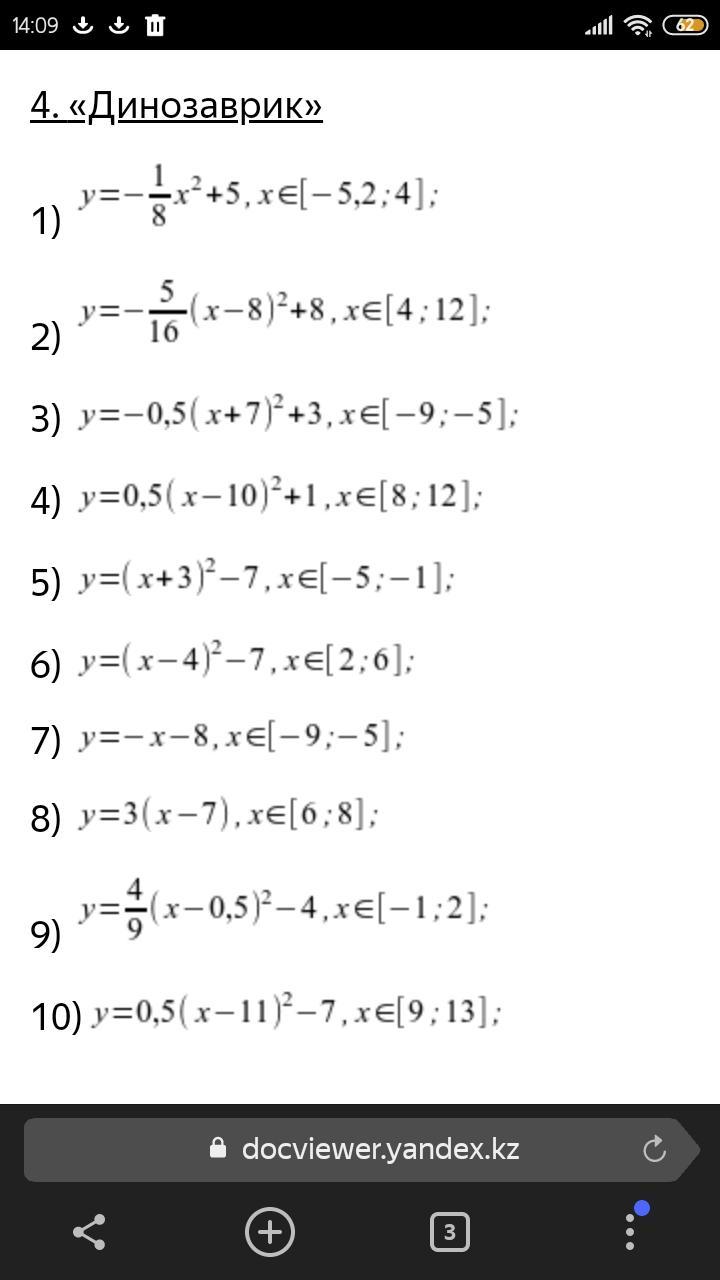
кто-нибудь пожалуйста сделайте динозаврика в экселе и скиньте дркумент пожалуйста

Приложения:

Ответа на этот вопрос пока нет. Попробуйте найти его через форму поиска.

Вас заинтересует