• Предмет: Алгебра
  • Автор: tvrctcrcrcrc
  • Вопрос задан 8 лет назад

ДАЮ 35 БАЛЛОВ !!!
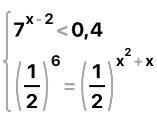
Пример 3
Помогите пожалуйста!!!!!

Приложения:

Ответы

Ответ дал: podkolzinbohdan2017
0

Ответ:

x = -3

Объяснение:

1-ым идёт 1 скрин

Приложения:
Вас заинтересует