Алгебра 11 класс. Даю 45 баллов.
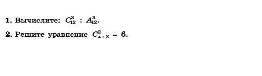
Решить задания методом размещения и сочетания.
Тема: размещения и сочетания.
Приложения:
Ответа на этот вопрос пока нет. Попробуйте найти его через форму поиска.
Вас заинтересует
2 года назад
2 года назад
3 года назад
3 года назад
9 лет назад
9 лет назад
10 лет назад