• Предмет: Математика
  • Автор: qwqqqa
  • Вопрос задан 8 лет назад

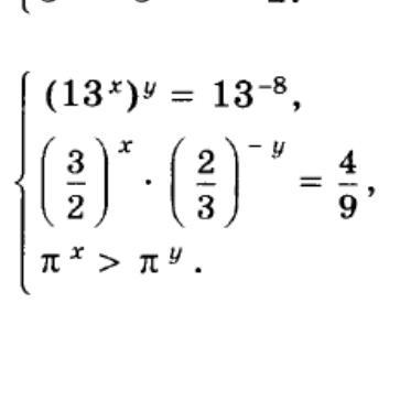
ДАЮ 30 БАЛЛОВ!!!!!

Спасибо.

Приложения:

Ответа на этот вопрос пока нет. Попробуйте найти его через форму поиска.

Вас заинтересует