• Предмет: Алгебра
  • Автор: dragon21elite
  • Вопрос задан 8 лет назад

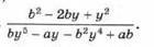
сократите дробь Срочно 25 баллов!!!!! ​

Приложения:

Ответа на этот вопрос пока нет. Попробуйте найти его через форму поиска.

Вас заинтересует