• Предмет: Математика
  • Автор: 301083
  • Вопрос задан 8 лет назад

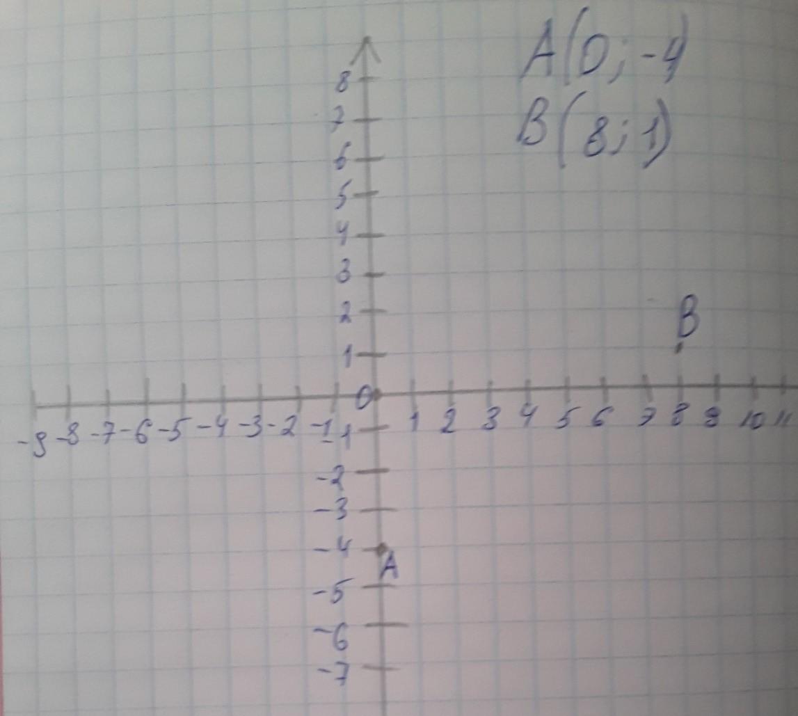
Постройте координатной плоскости точки А(0:-4) и В (8;1)

Ответы

Ответ дал: mirasajgazin
0

Пошаговое объяснение:

Както так,думаю понятно

Приложения:
Ответ дал: AYLINUKHMANOVA
0

Ответ: как то так.

Надеюсь правильно:)

Приложения:
Вас заинтересует