• Предмет: Алгебра
  • Автор: nyblo236
  • Вопрос задан 8 лет назад

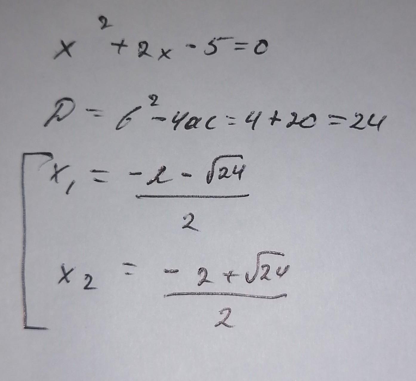
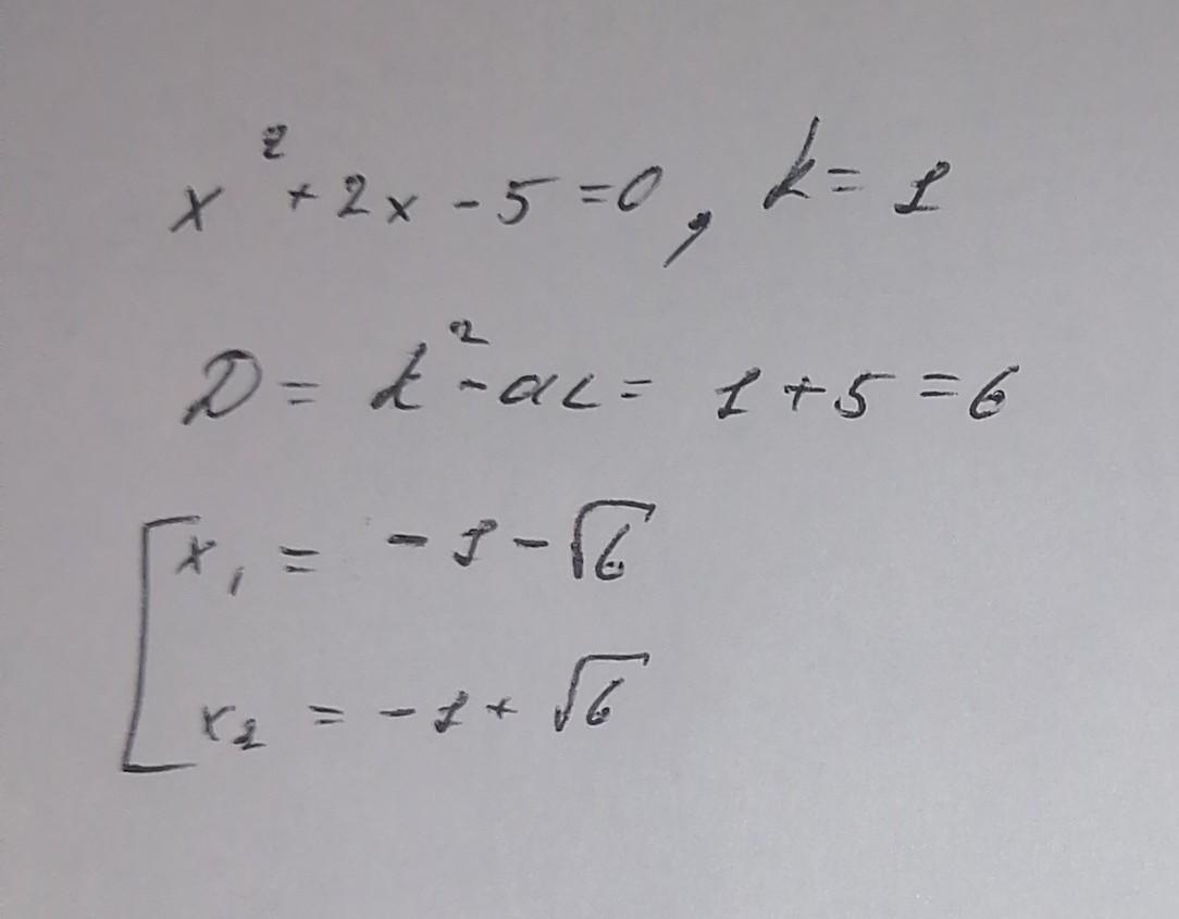
x^2+2x-5=0 нужно решить через дискриминант

Ответы

Ответ дал: tumanovarsenyi040327
0

Ответ:

Держи.

Первый способ - стандартный

Второй - через к(когда число при х чётное)

Приложения:
Вас заинтересует