Ответы
Ответ дал:
0
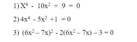
1) x4-10x+9=0
Пусть x2=t
t2-10t+9=0
D=100-36=64
t1=(10-8)/2=9
t2=(10-8)/2=1
Подставляем. x в квадрате равно 1, x в квадрате равно 9.
x1, 2=+-корень из 1, x3, 4=+-корень из 9
x1=1, x2=-1, x3=3, x4=-3.
2)4x4-5x2+1=0
Пусть x2=t
4t2-5t+1=0
D=25-16=9
t1=(5-3)/2=1
t2=(5+3)/2=4
Подставляем.
x1, 2=+- корень из 1
x2, 3=+- корень из 4
x1=1, x2=-1, x3=4, x4=-4.
3)на фото, только он, возможно, неправильный.
Приложения:


Вас заинтересует
1 год назад
1 год назад
1 год назад
1 год назад
3 года назад
3 года назад