• Предмет: Алгебра
  • Автор: iwlevapoly
  • Вопрос задан 8 лет назад

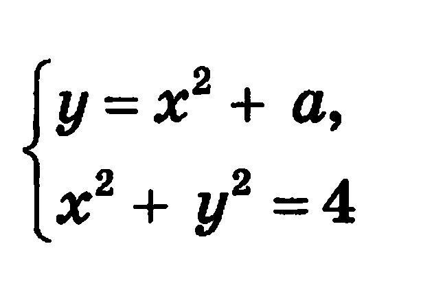
При каком значении а система уравнений имеет одно решение?

Приложения:

Ответа на этот вопрос пока нет. Попробуйте найти его через форму поиска.

Вас заинтересует