• Предмет: Математика
  • Автор: ydhd3
  • Вопрос задан 8 лет назад

Помогите пожалуйста буду благодарен ​

Приложения:

Ответы

Ответ дал: MrSolution
0

Ответ:

(см. объяснение)

Пошаговое объяснение:

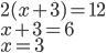
2(x+3)=12\x+3=6\x=3

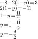
-8-2(1-y)=3\2(1-y)=-11\1-y=dfrac{11}{2}\y=1-dfrac{11}{2}\y=-dfrac{9}{2}

Приложения:
Ответ дал: MrSolution
0
По какой-то причине сервис не дает возможность писать формулы. Поэтому прикрепляю картинки.
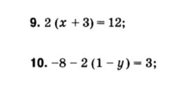
Вас заинтересует