Ответы
Ответ дал:
0
Вот,если что пиши)))))
Приложения:

Ответ дал:
0
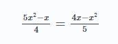
5(5x^2-x)=4(4x-x^2)
25x^2-5x-16x+4x^2=0
29x^2-21x=0
x(29x-21)=0
x1=0; x2=21/29
Приложения:

Ответ дал:
0
А можете пожалуйста еще вот это решить? (x+0.7)(3-2x)=1.2x(5-2x)
Вас заинтересует
2 года назад
2 года назад
3 года назад
3 года назад
8 лет назад
8 лет назад
9 лет назад