• Предмет: Алгебра
  • Автор: Demanaize
  • Вопрос задан 8 лет назад

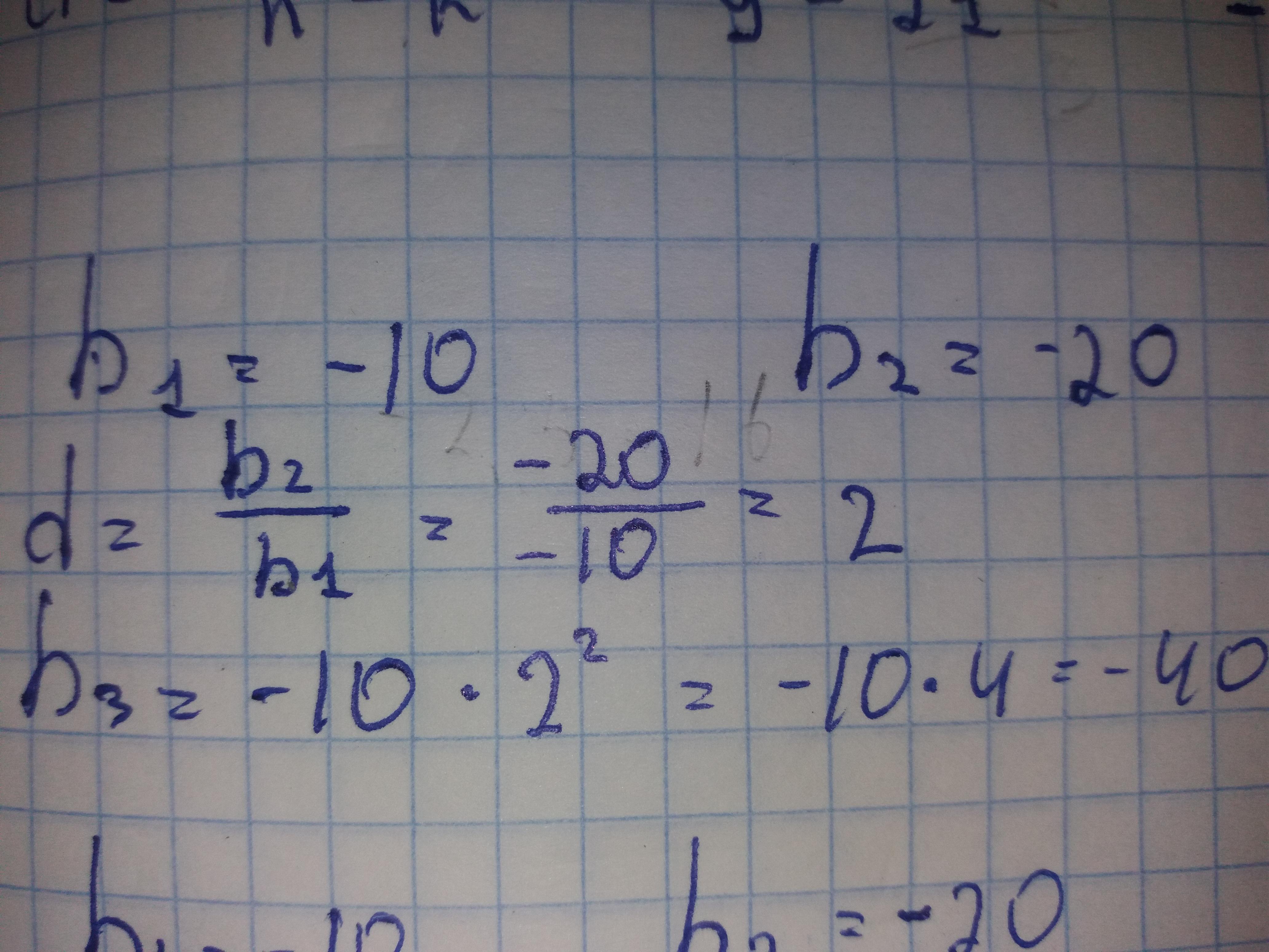
Дана геометрическая прогрессия: −10;−20...
Вычисли знаменатель и третий член прогрессии:

q=
b3=

Ответы

Ответ дал: Kavazaki
0

Ответ:

Gfbjjx

Объяснение:

Cjkgdscvg

Приложения:
Ответ дал: Demanaize
0
Благодарю!
Вас заинтересует