Ответы
Ответ дал:
0
Ответ:
Объяснение:
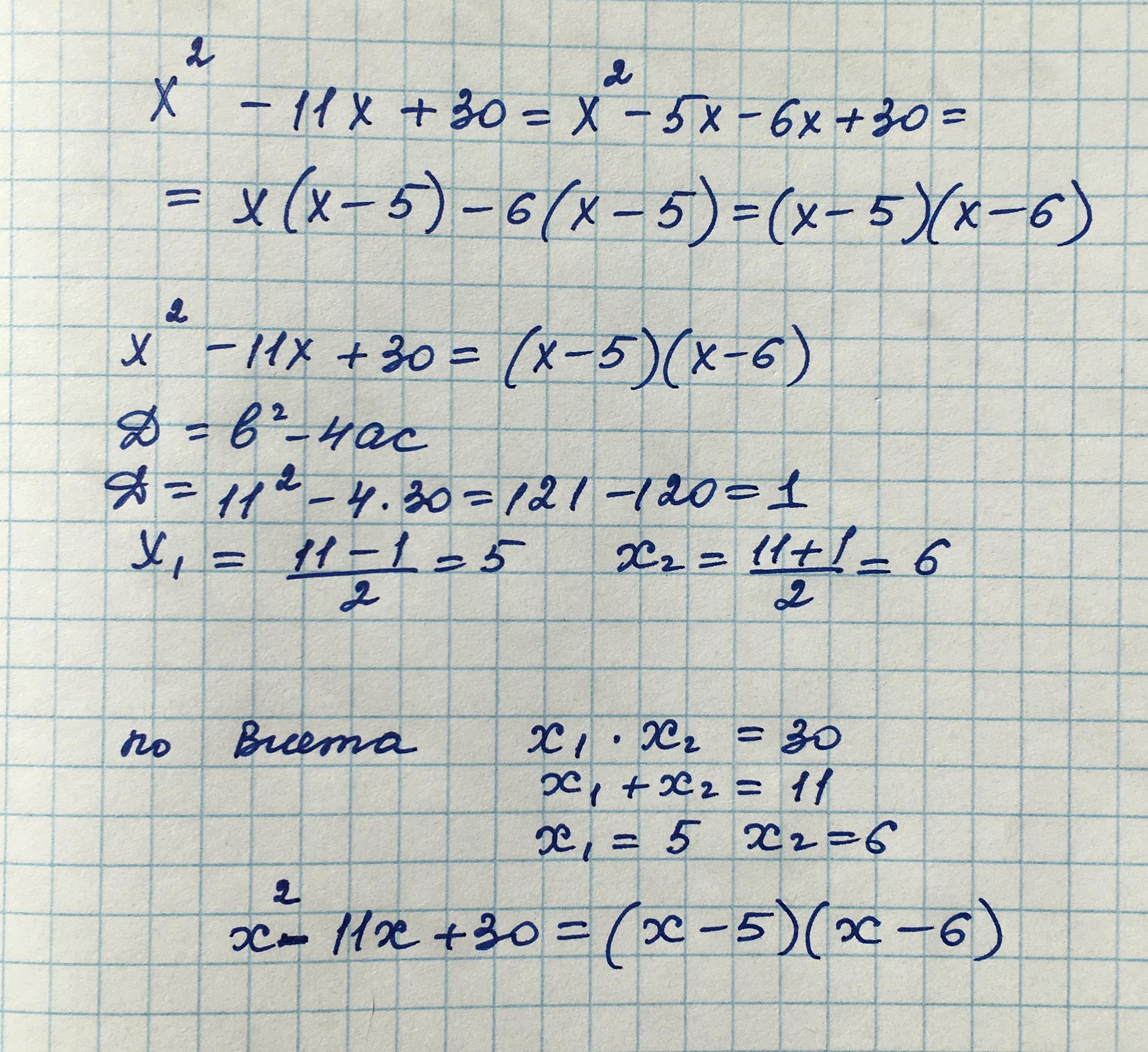
x^2-11x+30 = (x-5)(x-6)
Ответ дал:
0
Ответ:
Объяснение:
..............................
Приложения:

Вас заинтересует
2 года назад
2 года назад
3 года назад
3 года назад
8 лет назад
8 лет назад