• Предмет: Информатика
  • Автор: Лилия159951
  • Вопрос задан 8 лет назад

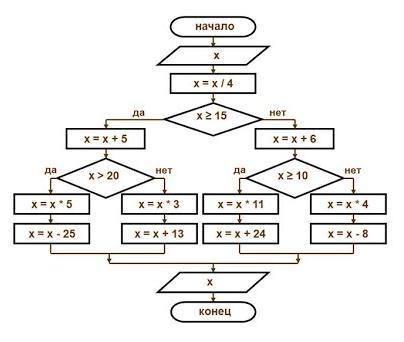
СРОЧНО! По блок-схеме напишите пожалуйста программу в Паскаль.

Приложения:

Ответа на этот вопрос пока нет. Попробуйте найти его через форму поиска.

Вас заинтересует