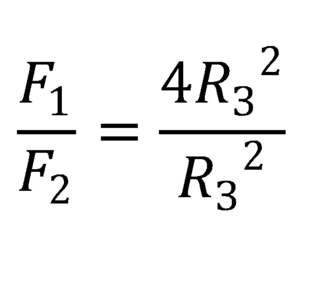
у скільки разів сила тяжіння що діє на тіло на поверхні землі більша за силу тяжіння що діє на те саме тіло але розташоване на висоті яка дорівнює радіусу землі
РОЗПИШІТЬ ФОРМУЛУ НА ЛИСТОЧКУ ЩОБ БУЛО ВСЕ ЗРОЗУМІЛО БУДЬ ЛАСКА
Приложения:
Ответа на этот вопрос пока нет. Попробуйте найти его через форму поиска.
Вас заинтересует
2 года назад
2 года назад
3 года назад
3 года назад
9 лет назад
10 лет назад