• Предмет: Алгебра
  • Автор: Revqe
  • Вопрос задан 8 лет назад

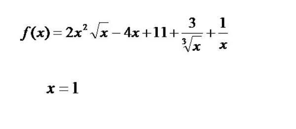
Помогите пожалуйста,срочно

Приложения:

Ответы

Ответ дал: anna0974666577
0

Объяснение:

Область определения постоянной функции-

множество всех действительных чисел

Приложения:
Вас заинтересует