Ответы
Ответ дал:
0
Ответ: В 9
Пошаговое объяснение:
Приложения:

Ответ дал:
0
Ответ:
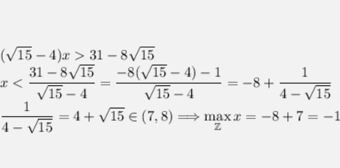
√15-4=√15-√16<0
Пошаговое объяснение:
Первый ответ
Приложения:

Вас заинтересует
2 года назад
2 года назад
3 года назад
3 года назад
8 лет назад
8 лет назад
9 лет назад
9 лет назад