• Предмет: Алгебра
  • Автор: Эльдорадо
  • Вопрос задан 8 лет назад

помогите решить пожалуйста

Приложения:

Ответы

Ответ дал: Cadet1
0

Ответ:

25

Объяснение:

Сначала решим систему методом сложения, получим

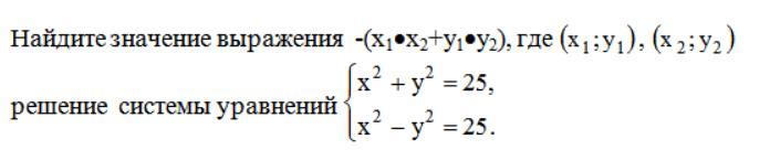
Х²+Х²+У²-У²=25+25

2х²=50; х²=25, отсюда х1=-5; х2=5; найдем у1 и у2 подставив значения з в любое уравнение системы, выбираю первое:

При х1=-5 (-5)²+у²=25; 25+у²=25; у²=0;

У1=0

При х2=5 5²-у²=25; 0=у²; у2=0

(-5;0) и (5;0), подставим в выражение

-(х1*х2+у1*у2) =-(-5*5+0*0) =-(-25)=25

Вас заинтересует