• Предмет: Алгебра
  • Автор: vhkomenko13
  • Вопрос задан 8 лет назад

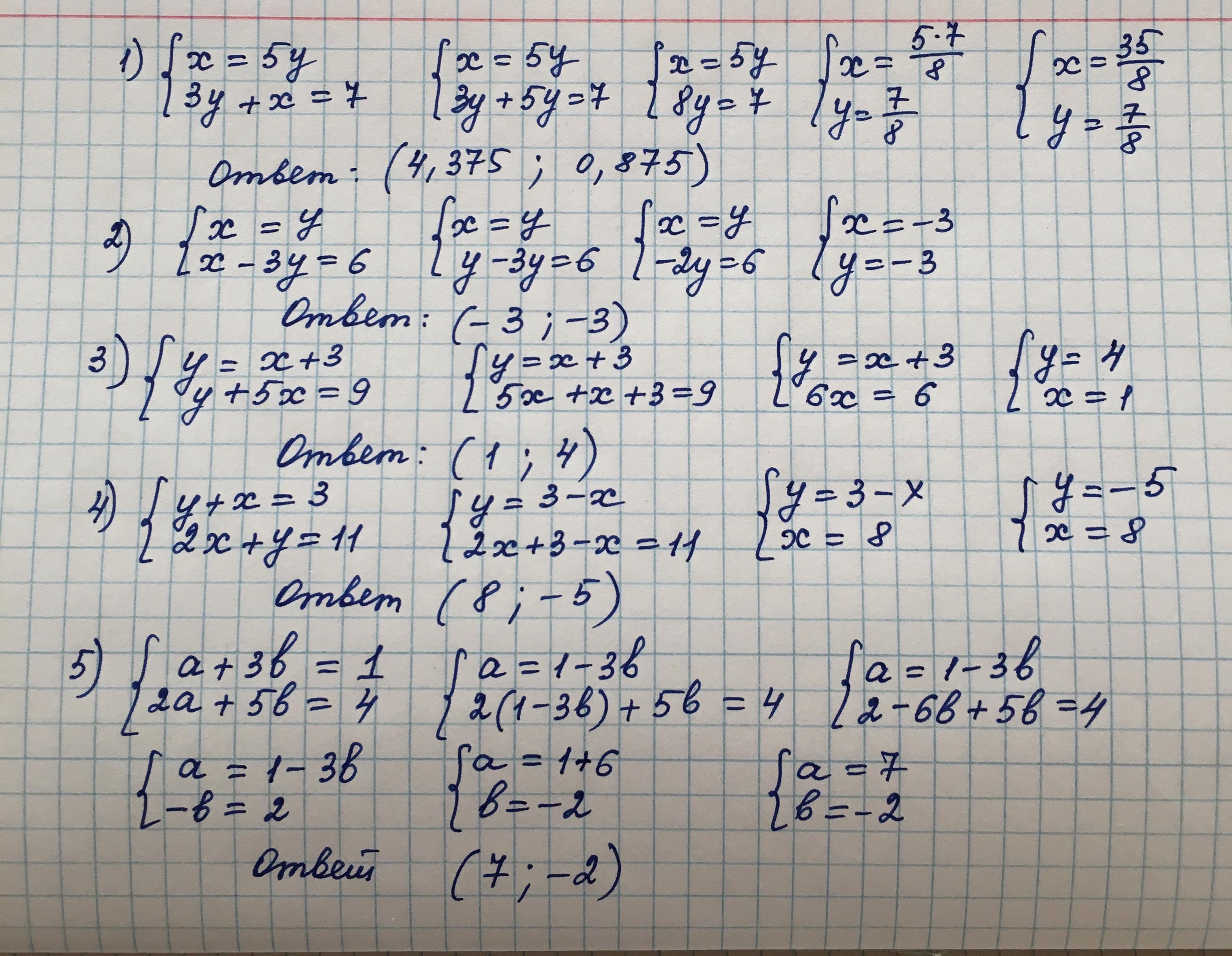
Помогите пожалуйста решить системы линейных уравнений с помощью способа подстановки​

Приложения:

Ответы

Ответ дал: ВладимирБ
0

Ответ:

Объяснение:

..........................,

Приложения:
Вас заинтересует